量子回路がここまで短く?Classiq Qmodで試す“回路圧縮”の実力

#量子技術 #量子回路 #ClassiqQmod

Topicsトピック

1. 量子計算の実用化に向けた課題と回路最適化の重要性

量子コンピューターは、化学系や材料科学などの分野において、量子多体問題*1の解決手段として近年大きな注目を集めています。中でも、古典計算機では極めて困難とされる分子の基底状態エネルギーの推定といった課題に対し、量子アルゴリズムを用いた新たなアプローチが期待されています。

ただし、ここで言う「量子回路」とは、従来の電子回路のような物理的な配線を指すものではありません。量子ビットに対して順に量子ゲートを適用していく操作の並び(シーケンス)を、楽譜のように記述したものを「回路」と呼んでいます。あたかも、ギターの弦を決まった順で弾くように、それぞれの量子ビットに対してゲート操作を施していきます。

しかしながら、このゲート操作には一定の確率でエラーが発生し、操作が増えるほど誤差が蓄積されていきます。特に現在主流のNISQ(Noisy Intermediate-Scale Quantum)デバイスでは、こうした誤差の影響が大きいため、回路をできるだけ浅く(=ゲート数を少なく)構成することが実用化の鍵となります。

量子アルゴリズムの中でも、量子位相推定(Quantum Phase Estimation, QPE)は、基底状態エネルギーの推定に有効なアルゴリズムとして知られています。QPEでは、 推定精度を高めるためにアンシラ量子ビット(補助量子ビット)の数を増やす必要がありますが、それに比例して回路の深さやゲート数も増大し、NISQデバイス上での実行は困難になります。すなわち、計算精度の向上と実行可能性との間にトレードオフが存在します。

このような背景のもと、ソフトバンク先端技術研究所では、水素鎖分子の基底状態エネルギー推定を題材に、QPE回路の圧縮と最適化が実行性・精度・コストにどのような影響を与えるかを検証しました。実機にはQuantinuum社のイオントラップ型量子コンピューター「Reimei」を使用し、回路の生成と最適化にはIBM Qiskit、Quantinuum TKET、Classiq Qmodという3種類のSDKを活用しました。各SDKによる回路圧縮性能やジョブ実行コストの違いを比較評価しています。

量子コンピューターは依然として非常に高価な計算資源であり、その活用にはハードウェア性能の制約が伴います。だからこそ、量子回路を最適化して浅く保つことは、計算の実行可能性を広げ、高精度な計算を可能にする鍵となります。

本検証を通じて、回路圧縮が量子計算の精度・コスト・実行可能性を決定する要因となること、そしてSDKの選択がアルゴリズムの実用性を左右する重要な要素であることを明らかにします。

この成果は、国立研究開発法人新エネルギー・産業技術総合開発機構 (NEDO) の委託業務の結果得られたものです。

*1 量子多体問題は、量子力学に従う複数の粒子が相互作用するときのふるまいを解き明かす問題です。古典コンピューターを用いて厳密に解析しようとすると、指数関数的に時間がかかることがわかっています。

2. 検証に使用した量子コンピューター

2025年2月、Quantinuum 社の量子コンピューター「Reimei」が理化学研究所和光キャンパスにオンプレミスで設置されました[1]。これは、Quantinuum製の量子コンピューターが米国外でオンプレミス導入された初の事例です。Reimeiは、20 量子ビットを搭載するイオントラップ型量子コンピューターであり、QuantinuumのSystem Model H1を基盤としています。量子ビット間における全結合性と、長いコヒーレンス時間、高忠実度を有する優れたエラー耐性が大きな特徴です。本検証では、これらの特徴を備えたReimei実機を用いて、量子計算の実証実験を行いました。

3. 対象物質

水素原子が一直線に並んだ「水素鎖」は、構造としてはとてもシンプルですが、その中では電子同士が強く影響し合ったり、量子相転移と呼ばれる興味深い現象が起こったりするため、量子化学や物性物理の分野では、計算手法や理論の性能を評価する際によく使われる「標準的な題材(ベンチマーク系)」とされています。今回の検証では、この一次元水素鎖を題材に選び、量子コンピューターで扱える形式に変換したうえで、量子コンピューターによる計算で基底状態のエネルギー値を計算し、その動作や精度を確かめました。

まず、電子のふるまいを計算するために「STO-3G基底*2」と呼ばれる最も基本的な近似方法を使って、水素鎖の電子構造を求めました。この計算によって得られた「フェルミオンハミルトニアン*3」と呼ばれる数式を、量子コンピューターが理解できるように「Jordan-Wigner変換*4」という方法を使って量子ビットの演算子に置き換えました。これにより、シミュレーションを実機の量子コンピューター上で行えるようにしました。

STO-3G基底を使うと、各水素原子に1つの空間軌道が割り当てられ、そこにスピンの異なる2つの電子状態(スピンアップとスピンダウン)が存在することになります。つまり、水素原子1つにつき2つのスピン軌道が必要であり、これは量子コンピューター上では2つの量子ビットに対応します。そのため、軌道数をNとした場合、必要となる量子ビットの数は2Nとなります。

なお、系の対称性を活用することにより、一部の量子ビットを削減することが可能です。また、活性空間*5を導入することで、電子相関の本質的な部分を保持したまま系の縮約も可能です。ただし、今回の目的は、回路を圧縮したときに量子コンピューター実機でどの程度正確な結果が得られるかを検証することにありました。そのため、あえてこうした簡略化は行わず、最も厳密な手法である「Full-CI法*6」に相当する計算を実行しています。

*2 STO-3G基底は、分子軌道法による量子化学計算で用いられる最も基本的な基底関数系のひとつです。STO(Slater-type orbital)を、3つのガウス型関数で近似して構成されています。

*3 フェルミオンハミルトニアンとは、電子のようにフェルミ粒子(フェルミオン)として振る舞う粒子のふるまいを記述するためのエネルギー演算子です。

*4 Jordan-Wigner変換は、量子コンピューター上でフェルミオン系をシミュレーションする際に用いられる数学的変換手法です。フェルミオンの生成・消滅演算子を量子ビット上のパウリ演算子の列に変換し、量子回路で直接実装可能な形に書き換えることができます。

*5 活性空間とは、分子の電子構造を計算する際に、物理的に重要な電子軌道と電子のみを選び出して、対象系を簡略化する手法です。

*6 Full-CI法とは、電子の相互作用を厳密に考慮した量子化学計算の中で最も正確な方法の一つです。指定された基底関数系のもとで、すべての可能な電子配置(スレーター行列式)を考慮して、エネルギーや波動関数を求めます。

4. 量子アルゴリズム

量子位相推定(Quantum Phase Estimation, QPE)[2]とは、ユニタリ行列の固有値を量子コンピューターによって計算するアルゴリズムです。ユニタリ演算子Uとそれに対する一つの固有状態 |ψ⟩が与えられた場合、

が成立します。QPE では、φを以下のように2進数的に表現します。

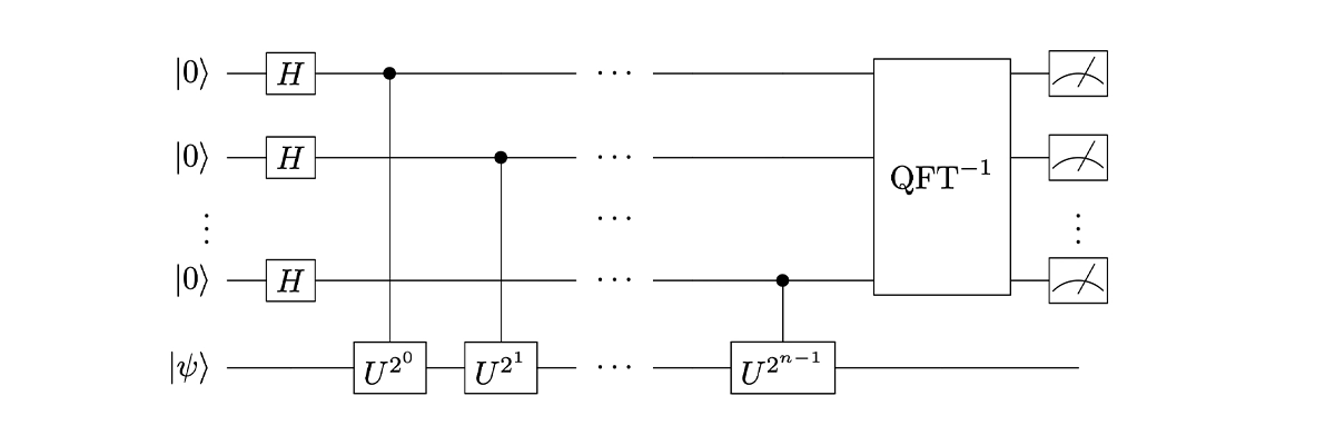
量子位相推定サブルーチンは、アダマールテストと同様の操作でU2kの固有値をn 個の補助量子ビットの位相として保存し、それを量子逆フーリエ変換*7 (Inverse Quantum Fourier Transform, IQFT)で取り出す操作です。量子回路で各位の位相情報を持つ状態 |φ1 φ2・・・φn⟩を生成し、Qubitを測定することでユニタリ演算子の固有値が求まります。つまりアンシラ量子ビット数が増えるほど固有値を表現する桁数が増え、精度が向上します。しかしながら、回路長が指数関数的に深くなり、ゲート操作によるエラーの影響を受けやすくなるトレードオフが存在します。量子位相推定を行う回路を図1に示しました。

図1: 量子位相推定サブルーチンの量子回路

図1: 量子位相推定サブルーチンの量子回路

*7 量子フーリエ変換とは、量子ビット列にエンコードされた数値情報を、量子回路上でフーリエ変換する操作です。古典的な高速フーリエ変換(FFT)に相当する処理を、重ね合わせ状態にある量子ビットに対して並列的に行う点が特徴です。量子逆フーリエ変換とは、量子フーリエ変換の逆操作です。

5. 検証内容と結果

A. セットアップ

この検証では、量子位相推定(QPE)を使って、水素鎖の基底状態エネルギーを求めることを目標としました。まずは、IBM、Quantinuum、Classiq といった各企業が提供しているソフトウェア開発キット(SDK)を使って、量子回路を作成・最適化し、その回路の圧縮性能(つまり、どれだけコンパクトにできるか)を比べました。

次に、Quantinuum社の量子コンピューター「Reimei」を使って、実際に量子回路を実行し、得られたエネルギー推定の精度を確認しました。

位相推定アルゴリズムでは、「アンシラ量子ビット」と呼ばれる補助的な量子ビットを使用します。この量子ビット数が増えるほど、位相推定の桁数が向上します。今回はその数を2個から6個まで変えながら実験を行いました。ただし、量子コンピューターの計算資源を使いすぎないように、水素鎖の長さ(原子数)に応じてショット数(測定回数)やアンシラ量子ビットの数の上限を調整しました。詳しい設定内容については、C.ジョブ実行コスト評価のセクションで説明しています。

また、実機で回路を動かす際には、Quantinuumが提供する「TKET」や、Classiq の「Qmod」というツールを使って回路をコンパイルしました。最終的には、「どれだけジョブ実行コストがかかったか」と「どれだけ正確なエネルギーを予測できたか」の2つの観点から、それぞれの手法の性能を評価しました。

B. コンパイル性能評価

水素鎖のそれぞれの分子について、「量子位相推定(QPE)」に使うアンシラ量子ビットの数を2個から6個まで変えて、それぞれに対応する量子回路を作成しました。

これらのSDKで作成した回路は、それぞれのツールに用意されているコンパイラで最適化を行いました。バックエンドはシミュレーターを指定しています。最適化後の回路に含まれるCXゲート(CNOTゲートとも呼ばれる2量子ビットゲートのひとつ)の数を数え、それを図2から図4に示しています。図の中で、グラフに描かれていない箇所がある場合は、その設定では回路のコンパイルがうまくいかなかったことを意味しています。

図2: H2でのCXゲート数

図3: H3でのCXゲート数

図4: H<sub>4</sub>でのCXゲート数

図4: H4でのCXゲート数





量子位相推定アルゴリズムの量子回路には、ゲート操作のべき乗という、ある特定のゲート操作を何回も繰り返すという構造的な特徴があります。この繰り返しの操作をより効率よく行うために、回路の構成を工夫したものを「flexible(柔軟な構成)」と呼んでおり、図中でもこの名称で表示しています。

また一例として、H2分子を対象に4アンシラ量子ビットを用いてQPEを実行する量子回路全体図を図5から図7に示しています。

結果として、どの分子の場合でも、TKETやQmodで作成した回路は、Qiskitに比べて回路をよりコンパクトにできていることがわかりました。特に、アンシラ量子ビットの数が増えて回路が長くなったときには、Qmod(flexible構成)が他の方法と比べて際立って高い圧縮性能を発揮しました。

図5: H<sub>2</sub>分子,4アンシラ量子ビットでのQiskitコンパイル回路

図5: H2分子,4アンシラ量子ビットでのQiskitコンパイル回路

図6: H<sub>2</sub>分子, 4アンシラビットでのTKETコンパイル回路

図6: H2分子, 4アンシラビットでのTKETコンパイル回路

図7: H<sub>2</sub>分子, 4アンシラ量子ビットでのQmod(flexible)コンパイル回路

図7: H2分子, 4アンシラ量子ビットでのQmod(flexible)コンパイル回路

C. ジョブ実行コスト評価

Quantinuum量子コンピューターに送信されるジョブ実行コストは、QPU使用量クレジット単位であるハードウェア量子クレジット (HQC) で評価できます。HQCは次の式に基づいて計算されます[3]。

ここで、N1qは量子回路に含まれる1量子ビットゲート数、N2qは2量子ビットゲート数、Nmは State Preparation and Measurement (SPAM)操作の数、Cはショット回数です。

実機実行におけるリソース消費を抑えるため、各分子に対して以下のショット数およびアンシラ量子ビット数の設定で実機実行を行いました。
・H2:ショット数1000, アンシラ数 2,3,4,5,6
・H3:ショット数1000, アンシラ数 2,3,4
・H4:ショット数500, アンシラ数 2,3,4

水素鎖各分子における HQC の使用量を表1に示しました。Qmodでコンパイルすることで、回路が浅くなり、ジョブ実行コストの低減にもつながることを確認しました。

表1: 水素鎖の各分子とHQCの関係. H<sub>2</sub>, H<sub>3</sub>: 1000ショット, H<sub>4</sub> : 500ショット

表1: 水素鎖の各分子とHQCの関係. H2, H3: 1000ショット, H4 : 500ショット

D. エネルギー推定精度評価

本検証では、量子回路のコンパイル比較においてQiskit、TKET、Qmodの3種のSDKを対象としましたが、実機実行に関してはTKETおよびQmodに限定しています。その理由は、Qiskitが主にIBM製量子プロセッサ向けに設計されており、Quantinuumハードウェアとの直接的な実行互換性を持たないためです。

技術的には、Qiskitで作成した量子回路をOpenQASMフォーマットにエクスポートした上で、TKET などを介してQuantinuum対応形式へ変換・再コンパイルすることは可能です。しかしこのアプローチでは、Qiskit側の論理回路がQuantinuumのゲートセットや全結合構造を考慮せず設計されているため、コンパイル後の回路は非効率となる可能性が高く、適切なベンチマーク結果が得られません。

以上より、本検証ではQiskitは論理回路構築およびコンパイル性能比較のみに使用し、実機実行に関しては Quantinuumのハードウェア特性に適合したTKETおよびQmodに限定して評価を行いました。

図8から図10には、QmodとTKETを使って作成・最適化した量子回路を、シミュレーター(aer-simulator)および量子コンピューターReimei上で実行したときのエネルギー推定結果を示しています。各図の黒い横線は、それぞれの分子の正確なエネルギー値(真値)を表しています。

たとえば、図8のH2分子では、Qmodで作成した回路ではアンシラ量子ビットの数を増やすことで推定の精度が良くなっている様子が見られます。一方、TKETで作成した回路では、アンシラ数が5までは真値にかなり近い推定結果が得られているものの、アンシラ数を6にしたところで推定結果が大きくずれてしまっています。

この違いは、量子コンピューターの実機における「2量子ビットゲート(2Qubitゲート)」のエラー率が影響していると考えられます。今回使用したReimeiの2Qubitゲートのエラー率はp2=1.41×10-3とされており、この値からおおよそ700ゲート程度が実行可能な上限と見積もられます。図2を参照すると、Qmod で作られた回路はアンシラ数が6でもこの700ゲートの範囲内に収まっていますが、TKET で作成した回路はこの上限を超えてしまっていることが分かります。そのため、TKETの回路では誤差が蓄積し、結果として精度が低下したと考えられます。

このように、Qmodを使えばアンシラ量子ビットを増やしても、回路をうまく圧縮することでゲート数を実行可能な範囲に収めることができ、その結果、より正確なエネルギー推定が実現できることが分かりました。

また、図3および図4からは、H3やH4の分子については、どちらの回路でも2Qubitゲートの数が700を超えていることが確認できます。このような大規模な回路は、現在のハードウェアでは正確に実行するのが難しく、実際に図9や図10に示されているように、エネルギーの推定値もばらつきが大きく、不安定な結果になっていることが分かりました。

図8: H2エネルギー推定値

図9: H3エネルギー推定値

図10: H<sub>4</sub>でのCXゲート数

図10: H4エネルギー推定値

6. 量子回路圧縮の有効性とアルゴリズム実用化への展望

本検証では、量子位相推定(QPE)を用いて水素鎖分子の基底状態エネルギーを推定するタスクを通じ、量子回路の圧縮性能と実行性能を評価しました。IBM Qiskit、Quantinuum TKET、Classiq Qmodという3種のSDKを用いて回路を生成・最適化し、それらを実機量子コンピューター「Reimei」で実行することで、SDKごとの違いを定量的に比較しました。

その結果、特にClassiq Qmodでは、アンシラ量子ビットの増加に対しても回路のゲート数を実行可能な範囲に抑えることができ、高いエネルギー推定精度と低いジョブ実行コストの両立が確認されました。使用するSDKによって、回路の圧縮性能や計算資源の消費量、さらには得られる結果の精度に差が生じることが明らかとなり、SDKの選定が量子計算の実行性と信頼性に直結する重要な要素であることが示されました。

こうした回路圧縮の効果は、QPEに限らず他の量子アルゴリズムにも広く適用可能と考えられます。今後は、他のアルゴリズムに対しても同様の手法を適用し、回路設計上の特性やゲート配置の違いが圧縮性能にどう影響するかを分析する予定です。

また、今回の検証は誤り耐性を考慮しないNISQデバイス向けの回路を対象としましたが、今後は量子誤り訂正に対応した回路へと対象を拡張し、誤り耐性を備えた実環境下での圧縮効果の有効性についても検証を進めていきます。





参考文献

[1] Quantinuum.Quantinuum’s “Reimei”Quantum Computer Now Fully Operational at RIKEN, Ushering in a New Era of Hybrid Quantum High-Performance Computing, 2025.

[2] Michael A. Nielsen and Isaac L. Chuang. Quantum Computation and Quantum Information: 10th Anniversary Edition. Cambridge University Press, 2010.

[3] Microsoft. Azure Quantum プロバイダーの価格プラン.

執筆者

西村 怜

Research Areas
研究概要